污水处理常规分析控制指标最全总结

更多关注公号:环保水处理(hbscl01)

1. 废水的主要物理特性指标有哪些?

⑴温度:废水的温度对废水处理过程的影响很大,温度的高低直接影响微生物活性。一般城市污水处理厂的水温为10~25摄氏度之间,工业废水温度的高低与排放废水的生产工艺过程有关。

⑵颜色:废水的颜色取决于水中溶解性物质、悬浮物或胶体物质的含量。新鲜的城市污水一般是暗灰色,如果呈厌氧状态,颜色会变深、呈黑褐色。工业废水的颜色多种多样,造纸废水一般为黑色,酒糟废水为黄褐色,而电镀废水蓝绿色。

⑶气味:废水的气味是由生活污水或工业废水中的污染物引起的,通过闻气味可以直接判断废水的大致成分。新鲜的城市污水有一股发霉的气味,如果出现臭鸡蛋味,往往表明污水已经厌氧发酵产生了硫化氢气体,运行人员应当严格遵守防毒规定进行操作。

⑷浊度:浊度是描述废水中悬浮颗粒的数量的指标,一般可用浊度仪来检测,但浊度不能直接代替悬浮固体的浓度,因为颜色对浊度的检测有干扰作用。

⑸电导率:废水中的电导率一般表示水中无机离子的数量,其与来水中溶解性无机物质的浓度紧密相关,如果电导率急剧上升,往往是有异常工业废水排入的迹象。

⑹固体物质:废水中固体物质的形式(SS、DS等)和浓度反映了废水的性质,对控制处理过程也是非常有用的。

⑺可沉淀性:废水中的杂质可分为溶解态、胶体态、游离态和可沉淀态四种,前三种是不可沉淀的,可沉淀态杂质一般表示在30min或1h内沉淀下来的物质。

2. 废水的化学特性指标有哪些?

废水的化学性指标很多,可以分为四类:①一般性水质指标,如pH值、硬度、碱度、余氯、各种阴、阳离子等;②有机物含量指标,生物化学需氧量BOD5、化学需氧量CODCr、总需氧量TOD和总有机碳TOC等;③植物性营养物质含量指标,如氨氮、硝酸盐氮、亚硝酸盐氮、磷酸盐等;④有毒物质指标,如石油类、重金属、氰化物、硫化物、多环芳烃、各种氯代有机物和各种农药等。

在不同的污水处理厂,要根据来水中污染物种类和数量的不同确定适合各自水质特点的分析项目。

3. 一般污水处理厂需要分析的主要化学指标有哪些?

一般污水处理厂需要分析的主要化学指标如下:

⑴pH值:pH值可以通过测量水中的氢离子浓度来确定。pH值对废水的生物处理影响很大,硝化反应对pH值更加敏感。城市污水的pH值一般在6~8之间,如果超出这一范围,往往表明有大量工业废水排入。对于含有酸性物质或碱性物质的工业废水,在进入生物处理系统之前需要进行中和处理。

⑵碱度:碱度能反应出废水在处理过程中所具有的对酸的缓冲能力,如果废水具有相对高的碱度,就可以对pH值的变化起到缓冲作用,使pH值相对稳定。碱度表示水样中与强酸中的氢离子结合的物质的含量,碱度的大小可用水样在滴定过程中消耗的强酸量来测定。

⑶CODCr: CODCr是废水中能被强氧化剂重铬酸钾所氧化的有机物的数量,以氧的mg/L计。

⑷BOD5:BOD5是废水中有机物被生物降解所需要的氧量,是衡量废水可生化性的指标。

⑸氮:在污水处理厂中,氮的变化和含量分布为工艺提供参数。污水处理厂进水中的有机氮和氨氮含量一般较高,而硝酸盐氮和亚硝酸盐氮含量一般较低。初沉池氨氮的增加一般表明沉淀污泥开始厌氧,而二沉池硝酸氮和亚硝酸氮的增加,表明硝化作用已经发生。生活污水中氮的含量一般为20~80mg/L,其中有机氮8~35mg/L,氨氮为12~50mg/L,硝酸氮和亚硝酸氮的含量很低。工业废水中有机氮、氨氮、硝酸氮和亚硝酸氮含量因水而异,有的工业废水中氮的含量极低,在利用生物法处理时,需要投加氮肥以补充微生物所需的氮含量,而出水中氮的含量过高时,又需要进行脱氮处理,以防止受纳水体出现富营养化现象。

⑹磷:生物污水中磷的含量一般为2~20mg/L,其中有机磷1~5mg/L,无机磷为1~15mg/L。工业废水中磷的含量差别很大,有的工业废水中磷的含量极低,在利用生物法处理时,需要投加磷肥以补充微生物所需的磷含量,而出水中磷的含量过高时,又需要进行除磷处理,以防止受纳水体出现富营养化现象。

⑺石油类:废水中的油大多是不溶于水的,且浮在水面上。进水中的油会影响充氧效果、导致活性污泥中的微生物活性降低,进入到生物处理构筑物的混合污水含油浓度通常不能大于30~50mg/L。

⑻重金属:废水中的重金属主要来自工业废水,其毒性很大。污水处理厂通常没有较好的处理方法,通常需要在排放车间内进行就地处理达到国家排放标准后再进入排水系统,如果污水处理厂出水中重金属含量上升,往往说明预处理出现了问题。

⑼硫化物:水中的硫化物超过0.5mg/L后,就带有令人厌恶的臭鸡蛋味,且有腐蚀性,有时甚至会引起硫化氢中毒事件。

⑽余氯:使用氯消毒时,为保证在输送过程中微生物的繁殖,出水中余氯(包括游离性余氯和化合性余氯)是消毒工艺的控制指标,一般不超过0.3mg/L。

4. 废水的微生物特性指标有哪些?

废水的生物性指标有细菌总数、大肠菌群数、各种病原微生物和病毒等。医院、肉类联合加工企业等废水排放前必须进行消毒处理,国家有关污水排放标准对此已经作出了规定。污水处理厂一般不对进水中的生物性指标进行检测和控制,但对处理后的污水排放之前要进行消毒处理,以控制处理污水对受纳水体的污染。如果对二级生物处理出水再进行深度处理后回用,就更需要在回用前进行消毒处理。

⑴细菌总数:细菌总数可作为评价水质清洁程度和考核水净化效果的指标,细菌总数增多说明水的消毒效果较差,但不能直接说明对人体的危害性有多大,必须结合粪大肠菌群数来判断水质对人体的安全程度。

⑵大肠菌群数:水中大肠菌群数可间接地表明水中含有肠道病菌(如伤寒、痢疾、霍乱等)存在的可能性,因此作为保证人体健康的卫生指标。污水回用做杂用水或景观用水时,就有可能与人体接触,此时必须检测其中粪大肠菌群数。

⑶各种病原微生物和病毒:许多病毒性疾病都可以通过水传染,比如引起肝炎、小儿麻痹症等疾病的病毒存在于人体的肠道中,通过病人粪便进入生活污水系统,再排入污水处理厂。污水处理工艺对这些病毒的去除作用有限,在将处理后污水排放时,如果受纳水体的使用价值对这些病原微生物和病毒有特殊要求时,就需要消毒并进行检测。

5. 反映水中有机物含量的常用指标有哪些?

有机物进入水体后,将在微生物的作用下进行氧化分解,使水中的溶解氧逐渐减少。当氧化作用进行的太快、而水体不能及时从大气中吸收足够的氧来补充消耗的氧时,水中的溶解氧可能降得很低(如低于3~4mg/L),进而影响水中生物正常生长的需要。当水中的溶解氧耗尽后,有机物开始厌氧消化,发生臭气,影响环境卫生。

由于污水中所含的有机物往往是多种组分的极其复杂的混合体,因而难以一一分别测定各种组分的定量数值。实际上常用一些综合指标,间接表征水中有机物含量的多少。表示水中有机物含量的综合指标有两类,一类是以与水中有机物量相当的需氧量(O2)表示的指标,如生化需氧量BOD、化学需氧量COD和总需氧量TOD等;另一类是以碳(C)表示的指标,如总有机碳TOC。对于同一种污水来讲,这几种指标的数值一般是不同的,按数值大小的排列顺序为TOD>CODCr>BOD5>TOC

6. 什么是总有机碳?

总有机碳TOC(英文Total Organic Carbon的简写)是间接表示水中有机物含量的一种综合指标,其显示的数据是污水中有机物的总含碳量,单位以碳(C)的mg/L来表示。TOC的测定原理是先将水样酸化,利用氮气吹脱水样中的碳酸盐以排除干扰,然后向氧含量已知的氧气流中注入一定量的水样,并将其送入以铂钢为触媒的石英燃烧管中,在900oC~950oC的高温下燃烧,用非色散红外气体分析仪测定燃烧过程中产生的CO2量,再折算出其中的含碳量,就是总有机碳TOC(详见GB13193--91)。测定时间只需要几分钟。

一般城市污水的TOC可达200mg/L,工业废水的TOC范围较宽,最高的可达几万mg/L,污水经过二级生物处理后的TOC一般<50mg/L,较清洁的河水TOC一般<10mg/L。在污水处理的研究中有用TOC作为污水有机物指标的,但在常规污水处理运行中一般不分析这个指标。

7. 什么是总需氧量?

总需氧量TOD(英文Total Oxygen Demand的简写)是指水中的还原性物质(主要是有机物)在高温下燃烧后变成稳定的氧化物时所需要的氧量,结果以mg/L计。TOD值可以反映出水中几乎全部有机物(包括碳C、氢H、氧O、氮N、磷P、硫S等成分)经燃烧后变成CO2、H2O、NOx、SO2等时所需要消耗的氧量。可见TOD值一般大于CODCr值。目前我国尚未将TOD纳入水质标准,只是在污水处理的理论研究中应用。

TOD的测定原理是向氧含量已知的氧气流中注入一定量的水样,并将其送入以铂钢为触媒的石英燃烧管中,在900oC的高温下瞬间燃烧,水样中的有机物即被氧化,消耗掉氧气流中的氧。氧气流中原有氧量减去剩余氧量就是总需氧量TOD。氧气流中的氧量可以用电极测定,因而TOD的测定只需几min。

8. 什么是生化需氧量?

生化需氧量全称为生物化学需氧量,英文是Biochemical Oxygen Demand,简写为BOD,它表示在温度为20oC和有氧的条件下,由于好氧微生物分解水中有机物的生物化学氧化过程中消耗的溶解氧量,也就是水中可生物降解有机物稳定化所需要的氧量,单位为mg/L。BOD不仅包括水中好氧微生物的增长繁殖或呼吸作用所消耗的氧量,还包括了硫化物、亚铁等还原性无机物所耗用的氧量,但这一部分的所占比例通常很小。因此,BOD值越大,说明水中的有机物含量越多。

在好氧条件下,微生物分解有机物分为含碳有机物氧化阶段和含氮有机物的硝化阶段两个过程。在20oC的自然条件下,有机物氧化到硝化阶段、即实现全部分解稳定所需时间在100d以上,但实际上常用20oC时20d的生化需氧量BOD20近似地代表完全生化需氧量。生产应用中仍嫌20d的时间太长,一般采用20oC时5d的生化需氧量BOD5作为衡量污水有机物含量的指标。经验表明,生活污水和各种生产污水的BOD5约为完全生化需氧量BOD20的70~80%。

BOD5是确定污水处理厂负荷的一个重要参数,可用BOD5值计算废水中有机物氧化所需要的氧量。含碳有机物稳定化所需要的氧量可称为碳类BOD5,如果进一步氧化,就可以发生硝化反应,硝化菌将氨氮转化为硝酸盐氮和亚硝酸盐氮时所需要的氧量可成为硝化BOD5。一般的二级污水处理厂只能去除碳类BOD5,而不去除硝化类BOD5。由于在去除碳类BOD5的生物处理过程中,硝化反应不可避免地要发生,因此使得BOD5的测定值比实际有机物的耗氧量要高一些。

BOD测定时间较长,常用的BOD5测定需要5d时间,因此一般只能用于工艺效果评价和长周期的工艺调控。对于特定的污水处理场,可以建立BOD5和CODCr的相关关系,用CODCr粗略估计BOD5值来指导处理工艺的调整。

9. 什么是化学需氧量?

化学需氧量的英文是Chemical Oxygen Demand,它是指在一定条件下,水中有机物与强氧化剂(如重铬酸钾、高锰酸钾等)作用所消耗的氧化剂折合成氧的量,以氧的mg/L计。

当用重铬酸钾作为氧化剂时,水中有机物几乎可以全部(90%~95%)被氧化,此时所消耗的氧化剂折合成氧的量即是通常所称的化学需氧量,常简写为CODCr(具体分析方法见GB 11914--89)。污水的CODCr值不仅包含了水中的几乎所有有机物被氧化的耗氧量,同时还包括了水中亚硝酸盐、亚铁盐、硫化物等还原性无机物被氧化的耗氧量。

10. 什么是高锰酸钾指数(耗氧量)?

用高锰酸钾作为氧化剂测得的化学需氧量被称为高锰酸钾指数(具体分析方法见GB 11892--89)或耗氧量,英文简写为CODMn或OC,单位为mg/L。

由于高锰酸钾的氧化能力比重铬酸钾要弱,同一水样的高锰酸钾指数的具体值CODMn一般都低于其CODCr值,即CODMn只能表示水中容易氧化的有机物或无机物的含量。因此,我国及欧美等许多国家都把CODCr作为控制有机物污染的综合性指标,而只将高锰酸钾指数CODMn作为评价监测海水、河流、湖泊等地表水体或饮用水有机物含量的一种指标。

由于高锰酸钾对苯、纤维素、有机酸类和氨基酸类等有机物几乎没有氧化作用,而重铬酸钾对这些有机物差不多都能氧化,因此使用CODCr作为表示废水的污染程度和控制污水处理过程的参数更为合适。但由于高锰酸钾指数CODMn测定简单、迅速,在对较清净的地表水进行水质评价时仍使用CODMn来表示其受到的污染程度,即其中的有机物数量。

vs标准值 污水处理常规分析控制指标最全总结

11. 如何通过分析废水的BOD5与CODCr来判定废水的可生化性?

当水中含有有毒有机物时,一般不能准确测定废水中的BOD5值,而采用CODCr值可以较准确地测定水中有机物的含量,但CODCr值又不能区别可生物降解和不可生物降解的物质。人们习惯于利用测定污水的BOD5/CODCr来判断其可生化性,一般认为,污水的BOD5/CODCr大于0.3就可以利用生物降解法进行处理,如果污水的BOD5/CODCr低于0.2,则只能考虑采用其他方法进行处理。

12. BOD5与CODCr的关系如何?

生化需氧量BOD5表示的是污水中有机污染物在进行生化分解过程中所需要的氧量,能够直接从生物化学意义上说明问题,因此BOD5不仅仅是一个重要的水质指标,更是污水生物处理过程中的一个极为重要的控制参数。但是,BOD5在使用上也受到一定限制,一是测定时间较长(5d),不能及时反映和指导污水处理装置的运行,二是因为有些生产污水不具备微生物生长繁殖的条件(如存在有毒有机物),无法测定其BOD5值。

化学需氧量CODCr则反映了污水中几乎所有有机物和还原性无机物的含量,只是不能象生化需氧量BOD5那样直接从生化意义上说明问题。也就是说,化验污水的化学需氧量CODCr值可以较准确地测定水中有机物含量,但化学需氧量CODCr不能区别可生物降解有机物和不可生物降解的有机物。

化学需氧量CODCr值一般高于生化需氧量BOD5值,其间的差值能够约略地反映污水中不能被微生物降解的有机物含量。对于污染物成份相对固定的污水来说,CODCr与BOD5之间一般都有一定的比例关系,可以互相推算。加上CODCr的测定所用时间较少,按回流2h的国家标准方法来化验,从取样到出结果,只需要3~4h,而测定BOD5值却需要5d时间,因此在实际污水处理运行管理中,常利用CODCr作为控制指标。

为了尽快指导生产运行,有的污水处理场还制定了回流5min测定CODCr的企业标准,测得结果虽然与国家标准方法有一定误差,但由于误差为系统误差,连续监测的结果可以正确地反应水质的实际变化趋势,测定时间却可以减少到1h以内,对及时调整污水处理运行参数和防止水质突变对污水处理系统造成冲击,提供了时间上的保证,也就是说提高了污水处理装置出水的合格率。

13. CODCr测定的注意事项有哪些?

CODCr测定是以重铬酸钾为氧化剂,在酸性条件下利用硫酸银做催化剂,沸腾回流2h,通过测定重铬酸钾的消耗量,再折算成的氧消耗量(GB11914--89)。CODCr测定中使用了重铬酸钾、硫酸汞和浓硫酸等药品,或有剧毒或有强烈的腐蚀性,而且需要加热回流,因此操作必须在通风橱中进行,并且要十分精心,废液必须回收并单独处理。

为了促使水中还原性物质的充分氧化,需要加入硫酸银做催化剂,而为使硫酸银分布均匀,应将硫酸银溶于浓硫酸中,待其全部溶解后(约需2d)再随起酸化作用的硫酸一起加入锥形瓶中。国家标准化验方法规定每测定一次CODCr(20mL水样)要加入0.4gAg2SO4/30mLH2SO4,但有关资料表明,对于一般的水样,投加0.3gAg2SO4/30mLH2SO4是完全足量的,没有必要使用更多的硫酸银。对经常测定的污水水样,如果有充分的数据对照,还可以适当减少硫酸银的用量。

CODCr是污水中有机物含量的指标,因此测定时一定要将氯离子和无机还原物质的耗氧除去。对于Fe2+、S2-等无机还原物的干扰,可根据其测定的浓度,由理论需氧量对已测的CODCr值加以校正。对氯离子Cl-1的干扰,一般采用硫酸汞去除,其加入量为每20mL水样0.4gHgSO4时,可去除2000mg/L氯离子的干扰。对经常测定的各种成份相对固定的污水水样,如果氯离子含量较少或使用稀释倍数较高的水样测定,可以适当减少硫酸汞的用量。

14. 硫酸银的催化机理是什么?

硫酸银的催化机理是,有机物中含羟基的化合物在强酸性介质中首先被重铬酸钾氧化成羧酸,由羟基有机物生成的脂肪酸与硫酸银作用生成脂肪酸银,由于银原子的作用,使羧基很容易地生成二氧化碳和水,同时生成新的脂肪酸银,但其碳原子要比前者少一个,如此循环往复,逐步使有机物全部氧化成二氧化碳和水。

15. BOD5测定的注意事项有哪些?

BOD5测定通常采用标准稀释与接种法(GB 7488--87),其操作为,经中和及除去毒性物质并经稀释后的水样(必要时加入适量含好氧微生物的接种液)置入培养瓶中,于在20oC暗处培养5d,通过分别测定培养前后水样中溶解氧的含量,来计算出5d内的耗氧量,再根据稀释倍数求得其BOD5。

BOD5的测定是生物作用和化学作用的共同结果,必须严格按照操作规范进行,变更任何一个条件,都将影响测定结果的准确性和可比性。影响BOD5测定的条件包括pH值、温度、微生物种类和数量、无机盐含量、溶解氧和稀释倍数等。

化验BOD5的水样必须充满并密封于取样瓶中,在2~5oC的冷藏箱内保存到分析时。一般应在采样后6h内进行检验,在任何情况下,水样的贮存时间不能超过24h。

测定工业废水的BOD5时,由于工业废水通常溶解氧含量较少而且成分多为可生化降解的有机物,为保持培养瓶内的好氧状态,必须将水样稀释(或接种稀释),这一操作是标准稀释法的最大特征。为确保测得结果的可靠性,对于稀释后的水样培养5d的耗氧量必须大于2mg/L,残留溶解氧必须大于1mg/L。

投入接种液是为了保证有一定量的微生物降解水中的有机物,接种液的量以使5日耗氧0.1mg/L以下为佳。使用由金属蒸馏器制备的蒸馏水作为稀释水时,应注意检查其中的金属离子含量,以避免因此抑制微生物繁殖和代谢。为确保稀释水中溶解氧接近饱和,必要时可通入净化空气或纯氧,然后于在20oC培养箱中放置一定时间,使之与空气中氧分压达到平衡。

稀释倍数的确定是以培养5日耗氧大于2mg/L,剩余溶解氧大于1mg/L为原则。稀释倍数过大或过小,都会导致检验失败。而且由于BOD5分析周期较长,一旦出现类似情况,就无法以原样补测。初测某一工业废水的BOD5时,可以首先测定其CODCr,然后查阅参考已有的水质类似的废水的有关监测数据,初步确定待测水样BOD5/CODCr值,据此推算出BOD5的大致范围和确定稀释倍数。

对含有抑制或杀灭好氧微生物代谢活动的物质的水样,直接用通常方法测定BOD5的结果会偏离实际值,必须在测定前做相应的预处理,这些对BOD5测定有影响的物质和因素包括重金属及其他有毒的无机物或有机物、余氯等氧化性物质、pH值过高或过低等。

16. 测定工业废水的BOD5时为什么要进行接种?如何接种?

BOD5的测定是一个生物化学耗氧过程,水样中的微生物以水中有机物为营养生长繁殖的同时,分解有机物并消耗了水中的溶解氧,因此水样中必须含有一定数量的对其中有机物有降解能力的微生物。

工业废水中一般都含有数量不等的有毒物质,这些有毒物质会对微生物的活动产生抑制作用,因此工业废水中自有微生物的数量很少甚至根本没有。如果采用测定微生物含量丰富的城市污水的普通方法,可能就检测不到废水中真正有机物的含量,至少是偏低。比如经高温和灭菌处理及pH过高或过低的水样,除了需要采取进行降温、还原杀菌剂或调整pH值等预处理措施外,为保证测定BOD5时的准确性,也必须进行有效接种。

测定工业废水的BOD5时,如果毒性物质含量太大,有时还要用药剂予以去除;如果废水呈酸性或碱性,还要先进行中和处理;而且通常水样要经过稀释,然后才能采用标准稀释法测定。向水样中水加入适量含经过驯化的好氧微生物的接种液(如处理这种工业废水的曝气池混合液),就是为了使水样中含有一定数量的对有机物具有降解能力的微生物。在满足其他测定BOD5的条件下,利用这些微生物分解工业废水中的有机物,测定水样培养5d的耗氧量,即可得到工业废水的BOD5值。

污水处理场的曝气池混合液或二沉池出水是测定进入污水处理厂的废水BOD5时的理想的微生物种源。直接用生活污水接种,因其中溶解氧很少甚至没有,容易出现厌氧微生物,需要长时间培养驯化,因此,这种经过驯化的接种液仅适用于作为特定需要的某些工业废水。

17. 测定BOD5时制取稀释水的注意事项有哪些?

稀释水的质量对BOD5的测定结果的准确性意义重大,因此要求稀释水空白5日耗氧必须小于0.2mg/L,最好能控制在0.1mg/L以下,接种稀释水5日耗氧应在0.3~1.0mg/L之间。

保证稀释水质量的关键在于控制其有机物的含量最低和抑制微生物繁殖的物质含量最低,因此最好使用蒸馏水作为稀释水,不宜使用离子交换树脂制得的纯水作为稀释水,因为去离子水往往含有从树脂中分离出的有机物。如果制备蒸馏水的自来水中含有某些挥发性有机物,为预防其残留在蒸馏水中,就应在蒸馏前进行去除有机物的预处理。由金属蒸馏器制得的蒸馏水,应注意检查其中的金属离子含量,以免发生抑制微生物的繁殖和代谢,影响BOD5测定结果的准确性。

如果所用稀释水因含有有机物而不符合使用要求时,可采取加入适量曝气池接种液后,在室温或20oC条件下贮存一定时间的方法予以消除影响。接种的量以5d耗氧约0.1mg/L为原则,为防止藻类繁殖,贮存必须在暗室中进行。如果贮存后的稀释水有沉渣,只能取用上清液,可过滤去除沉渣。

为确保稀释水的溶解氧接近饱和,必要时可用真空泵或水射器吸入经净化的空气,也可用微型空压机注入经净化的空气,还可用氧气瓶通入纯氧,然后将经过充氧的稀释水在20oC培养箱中放置一定时间,使溶解氧达到平衡。冬季在较低室温放置的稀释水可能含有过多的溶解氧,夏季高温季节则恰好相反,因此在室温与20oC有明显差别时,一定要放置在培养箱内稳定一段时间,使之和培养环境的氧分压平衡。

18. 测定BOD5时如何确定稀释倍数?

稀释倍数过大或过小,可导致5d耗氧量太少或太多,超出正常耗氧范围使实验失败。而由于BOD5的测定周期很长,一旦出现此类情况,就无法以原样补测。因此,必须十分重视稀释倍数的确定。

工业废水的组分虽然复杂,但其BOD5值与CODCr值之比通常在0.2~0.8之间,造纸、印染、化工等废水比值较低,食品工业废水则较高。一些含有颗粒状有机物的废水如酒糟废水等,在测定其BOD5时,会由于颗粒物沉淀于培养瓶底不能参加生化反应,造成比值明显偏低。

稀释倍数的确定是按测定BOD5时,5d耗氧应大于2mg/L、剩余溶解氧大于1mg/L这两个条件为原则。稀释后当日培养瓶中的DO为7~8.5mg/L,假设5d耗氧量为4mg/L,则稀释倍数为CODCr值分别与0.05、0.1125、0.175三个系数的乘积。例如用250mL培养瓶测定CODCr为200mg/L的水样BOD5时,三个稀释倍数分别为:①200×0.005=10倍,②200×0.1125=22.5倍,③200×0.175=35倍。如果采用直接稀释法,则取水样的体积分别为:①250÷10=25mL,②250÷22.5≈11mL,③250÷35≈7mL。

照此取样培养,将有1~2个测得的溶解氧结果符合上述两个原则。如果有两个稀释比符合上述原则,计算结果时,应取其平均值。如果剩余的溶解氧小于1mg/L、甚至为零时,应加大稀释比。如果培养期间溶解氧消耗量小于2 mg/L,一个可能是稀释倍数过大;另一个可能是微生物菌种不适应、活性差,或有毒物质的浓度过大,此时还可能出现稀释倍数大的培养瓶消耗溶解氧反而较多的现象。

如果稀释水为接种稀释水,由于空白水样耗氧为0.3~1.0mg/L,所以稀释系数分别为0.05、0.125和0.2。

如果已知水样CODCr具体值或大概范围,可以较容易地按上述稀释倍数去分析其BOD5值。当不知道水样的CODCr范围,为了缩短分析时间,可在测定CODCr过程中进行估算。具体做法是:首先配制每升中含有0.4251g邻苯二甲酸氢钾的标准溶液(此液CODCr值为500mg/L),然后按比例稀释成CODCr值分别为400mg/L、300mg/L、200mg/L、100mg/L的稀溶液。分别移取20.0mLCODCr值为100mg/L~500mg/L的标准溶液,按常法加入试剂,进行CODCr值测定。加热煮沸腾回流30min后,自然冷却到常温再加盖保存,制成标准比色系列。按照常法测定水样的CODCr值过程中,当煮沸回流进行到30min时,用预热后的标准CODCr值色列进行对比,估算出水样的CODCr值,依此确定化验BOD5时的稀释倍数。对含有难消解有机物的印染、造纸、化工等工业废水,必要时在煮沸回流到60min时再进行比色估算。

19. 测定BOD5时水样稀释法有几种?操作注意事项有哪些?

测定BOD5时水样稀释法分一般稀释法和直接稀释法两种,其中一般稀释法需要使用的稀释水或接种稀释水数量较多。

一般稀释法是在1L或2L量筒中,加入稀释水或接种稀释水约500mL,然后加入计算而得的一定体积的水样,再加稀释水或接种稀释水到满量程,用末端装有橡皮圆片的玻璃棒在水面下慢慢作上提或下沉式搅动,最后用虹吸管将已经混合均匀的水样溶液引入培养瓶中,并使充满溢出少许,小心盖紧瓶塞,并水封瓶口。对第二或第三个稀释倍数的水样,可利用剩余的混合液,经计算后在添加一定量的稀释水或接种稀释水,用同样的方法混合并引入培养瓶。

直接稀释法是先以虹吸法在已知容积的培养瓶中引入约一半容积的稀释水或接种稀释水,然后沿瓶壁注入根据稀释倍数计算出的每一培养瓶中应加入的水样体积,再引入稀释水或接种稀释水至瓶颈,小心盖紧瓶塞,并水封瓶口。

使用直接稀释法时,特别要注意最后引入稀释水或接种稀释水时一定不能过快。同时要摸索引入最适体积的操作规律,避免过量溢出而产生的误差。

无论使用哪中方法,在将水样引入培养瓶时,动作必须要轻缓,避免发生气泡,以防空气溶入水中或水中氧气溢出。同时要保证在盖紧瓶盖时一定要细心,避免瓶内留有气泡而影响测定结果。培养瓶在培养箱内培养时,每天都要检查其水封情况,及时填水,以防止封口水份蒸干而使瓶内进入空气。此外,5d前后使用的两个培养瓶的体积必须相同,以减小误差。

20. 测定BOD5时可能出现的问题有哪些?

对有硝化作用的污水处理系统的出水进行BOD5测定时,由于其中含有很多硝化细菌,测定结果中就包含了氨氮等含氮物质的需氧量。当需要区分水样中含碳物质的需氧量和含氮物质的需氧量时,可采用在稀释水中加入硝化抑制剂的方法消除BOD5测定过程中的硝化作用,比如在每升稀释水中加入10mg2-氯-6-(三氯甲基)砒啶或10mg丙烯基硫脲等。

BOD5/CODCr接近1甚至大于1,往往说明检测过程出现了差错,必须对检测的每个环节进行审核,尤其要注意水样取用是否均匀。而BOD5/CODMn接近1甚至大于1却可能是正常的,因为高锰酸钾对水样中有机组分的氧化程度要比重铬酸钾低很多,同一水样的CODMn值有时会比CODCr值低很多。

当出现规律性的稀释倍数越大、BOD5值越高的现象时,原因通常是水样中含有抑制微生物生长繁殖的物质。稀释倍数低时,水样中所含抑制物质的比例就越大,使细菌无法进行有效的生物降解作用,导致BOD5的测定结果偏低。此时应查找抑菌物质的具体成分或原因,测定前进行有效地预处理予以消除或掩蔽。

BOD5/CODCr偏低时,比如低于0.2甚至低于0.1,如果测定的是工业废水,可能因为水样中的有机物可生物降解性很差,但如果测定的水样是城市污水或混有一定比例生活污水的工业废水,除了因为水样中含有化学毒性物质或抗菌素外,比较常见的原因是pH值非中性和存在余氯类杀菌剂等。为避免失误,在BOD5的测定过程中,水样和稀释水的pH值一定要分别调节到7和7.2,对有可能存在余氯等氧化剂的水样,要作例行检查。

21. 表示废水中植物营养物质指标有哪些?

植物营养物质包括氮、磷及其他一些物质,它们是植物生长发育所需要的养料。适度的营养元素可以促进生物和微生物的生长,过多的植物营养物质进入水体,会使水体中藻类大量繁殖,产生所谓“富营养化”现象,进而恶化水质、影响渔业生产和危害人体健康。浅水湖泊严重的富营养化可以导致湖泊沼泽化,直至致使湖泊死亡。

同时,植物营养物质又是活性污泥中微生物生长繁殖所必需的成份,是关系到生物处理工艺能否正常运转的关键因素。因此常规污水处理运行中都将水中植物营养物质指标作为一项重要的控制指标。

表示污水中植物营养物质的水质指标主要是氮素化合物(如有机氮、氨氮、亚硝酸盐和硝酸盐等)和磷素化合物(如总磷、磷酸盐等),常规污水处理运行中一般都监测进出水中的氨氮和磷酸盐。一方面为了维持生物处理运转正常,另一方面为了检测出水是否达到国家排放标准。

22. 常用氮素化合物的水质指标有哪些?它们的关系如何?

常用的代表水中氮素化合物的水质指标有总氮、凯氏氮、氨氮、亚硝酸盐和硝酸盐等。

氨氮是水中以NH3和NH4+形式存在的氮,它是有机氮化物氧化分解的第一步产物,是水体受污染的一种标志。氨氮在亚硝酸盐菌作用下可以被氧化成亚硝酸盐(以NO2-表示),而亚硝酸盐在硝酸盐菌的作用下可以被氧化成硝酸盐(以NO3-表示)。而硝酸盐也可以在无氧环境中在微生物的作用下还原为亚硝酸盐。当水中的氮主要以硝酸盐形式为主时,可以表明水中含氮有机物含量已很少,水体已达到自净。

有机氮和氨氮的总和可以使用凯氏(Kjeldahl)法测定(GB 11891--89),凯氏法测得的水样氮含量又称为凯氏氮,因而通常所称的凯氏氮是氨氮和有机氮之和。将水样先行除去氨氮后,再以凯氏法测定,其测得值即是有机氮。如果分别对水样测定凯氏氮和氨氮,则其差值也是有机氮。凯氏氮可作为污水处理装置进水氮含量的控制指标,还可以作为控制江河湖海等自然水体富营养化的参考指标。

总氮为水中有机氮、氨氮、亚硝酸盐氮和硝酸盐氮的总和,也就是凯氏氮与总氧化氮之和。总氮、亚硝酸盐氮和硝酸盐氮都可使用分光光度法测定,亚硝酸盐氮的分析方法见GB7493-87,硝酸盐氮的分析方法见GB7480-87,总氮分析方法见GB 11894--89。总氮代表了水中氮素化合物的总和,是自然水体污染控制的一个重要指标,也是污水处理过程中的一个重要控制参数。

23. 氨氮测定的注意事项有哪些?

氨氮测定的常用方法是比色法,即纳氏试剂比色法(GB 7479--87)和水杨酸--次氯酸盐法(GB 7481--87)。水样的保存可采用浓硫酸酸化的方法,具体做法是用浓硫酸调整水样pH值至1.5~2之间,并在4oC环境下贮存。纳氏试剂比色法和水杨酸--次氯酸盐法的最低检测浓度分别为0.05mg/L和0.01mg/L(以N计),当测定浓度为0.2mg/L以上的水样时,可以使用容量法(CJ/T75--1999)。为了获得准确的结果,无论采用哪种分析方法,测定氨氮时都要将水样预先蒸馏处理。

水样的pH值对氨的测定影响很大,pH值太高,会使某些含氮的有机化合物转变为氨,pH值太低,加热蒸馏时部分氨又会滞留水中。为了获得准确的结果,分析前应将水样调至中性,水样偏酸或偏碱,可用1mol/L氢氧化钠溶液或1mol/L的硫酸溶液调节pH值为中性。然后加入磷酸盐缓冲溶液,使其pH值保持在7.4后,再进行蒸馏处理。加热后氨即呈气态从水中挥发出来,此时再用0.01~0.02mol/L的稀硫酸(苯酚--次氯酸盐法)或2%的稀硼酸(纳氏试剂法)吸收。

对于某些Ca2+含量较大的水样,加入磷酸盐缓冲溶液后,由于Ca2+与PO43-生成了难溶的Ca3(PO43-)2沉淀、释放出磷酸盐中的H+降低了pH值,显然其他能与磷酸根生成沉淀的离子也能影响加热蒸馏时水样的pH值。也就是说,对于这样的水样,即使调节pH值为中性,又加入了磷酸盐缓冲溶液,结果pH值仍会远远低于期望值。因此,对于未知水样,在蒸馏后再测一下pH值,如果pH值不在7.2~7.6之间,就应当增加缓冲溶液的用量,一般每250mg钙多加10mL磷酸盐缓冲溶液。

24. 反映水中含磷化合物含量的水质指标有哪些?它们的关系如何?

磷是水生生物生长必需的元素之一,水中的磷绝大部分以各种形式的磷酸盐存在,少量以有机磷化合物的形式存在。水中的磷酸盐可分为正磷酸盐和缩合磷酸盐两大类,其中正磷酸盐指以PO43-、HPO42-、H2PO4-等形式存在的磷酸盐,而缩合磷酸盐包括焦磷酸盐、偏磷酸盐和聚合磷酸盐等,如P2O74-、P3O105-、HP3O92-、(PO3)63-等。有机磷化合物主要包括磷酸酯、亚磷酸酯、焦磷酸酯、次磷酸酯和磷酸胺等类型。磷酸盐和有机磷之和称为总磷,也是一项重要的水质指标。

总磷的分析方法(具体做法见GB 11893--89)有两个基本步骤组成,第一步用氧化剂将水样中不同形态的磷转化为磷酸盐,第二步测定正磷酸盐,再反算求得总磷含量。常规污水处理运行中,都要监控和测定进入生化处理装置的污水及二沉池出水的磷酸盐含量。如果进水磷酸盐含量不足,就要投加一定量的磷肥加以补充;如果二沉池出水的磷酸盐含量超过国家一级排放标准0.5mg/L,就要考虑采取除磷措施。

25. 磷酸盐测定的注意事项有哪些?

磷酸盐测定的方法是在酸性条件下,磷酸根同钼酸铵生成磷钼杂多酸,磷钼杂多酸用还原剂氯化亚锡或抗坏血酸还原成蓝色的络合物(简称钼蓝法CJ/T78--1999),也可以用碱性燃料生成多元有色络合物直接进行分光光度测定。

磷的水样不稳定,最好采集后立即分析。如果分析不能立即进行,每升水样加40mg氯化高汞或1mL浓硫酸防腐后,再贮于棕色玻璃瓶中放置于4oC的冷藏箱内。如果水样仅用于分析总磷,可以不用防腐处理。

由于磷酸盐可以吸附于塑料瓶壁上,故不可用塑料瓶贮存水样。所使用的玻璃瓶都要用稀的热盐酸或稀硝酸冲洗,再用蒸馏水冲洗数次。

26. 反映水中固体物质含量的各种指标有哪些?

污水中的固体物质包括水面的漂浮物、水中的悬浮物、沉于底部的可沉物及溶解于水中的固体物质。漂浮物是漂浮在水面上的、密度小于水的大块或大颗粒杂质,悬浮物是悬浮于水中的小颗粒杂质,可沉物是经过一段时间能在水体底部沉淀下来的杂质。几乎所有的污水中都有成分复杂的可沉物,成分主要是以有机物为主的可沉物被称为污泥,成分以无机物为主的可沉物被称为残渣。漂浮物一般难以定量化,其他几种固体物质则可以用以下指标衡量。

反映水中固体总含量的指标是总固体,或称全固形物。根据水中固体的溶解性,总固体可分为溶解性固体(Dissolved Solid,简写为DS)和悬浮固体(Suspend Solid,简写为SS)。根据水中固体的挥发性能,总固体可分为挥发性固体(VS)和固定性固体(FS,也叫灰分)。其中,溶解性固体(DS)和悬浮固体(SS)还可以进一步细分为挥发性溶解固体、不可挥发性溶解固体和挥发性悬浮固体、不可挥发性悬浮固体等指标。

27. 什么是水的全固形物?

反映水中固体总含量的指标是总固体,或称全固形物,分为挥发性总固体和不可挥发性总固体两部分。总固体包括悬浮固体(SS)和溶解性固体(DS),每一种也可进一步细分为挥发性固体和不可挥发性固体两部分。

总固体的测定方法是测定废水经过103oC~105oC蒸发后残留下来的固体物质的质量,其干燥时间、固体颗粒的大小与所用的干燥器有关,但在任何情况下,干燥时间的长短都必须以水样中的水分完全蒸干为基础,并以干燥后质量恒定为止。

挥发性总固体表示总固体在600oC高温下灼烧后所减轻的固体质量,因此也叫做灼烧减重,可以粗略代表水中有机物的含量。灼烧时间也像测定总固体时的干燥时间一样,应灼烧至样品中的所有碳全部挥发掉为止。灼烧后剩余的部分物质的质量,即为固定性固体,也称为灰分,可以粗略代表水中无机物的含量。

28. 什么是溶解性固体?

溶解性固体也称为可过滤物质,可通过对过滤悬浮固体后的滤液在103oC~105oC温度下进行蒸发干燥后,测定残留物质的质量,就是溶解性固体。溶解性固体中包括溶解于水的无机盐类和有机物质。可用总固体减去悬浮固体的量来粗略计算,常用单位是mg/L。

将污水深度处理后回用时,必须将其溶解性固体控制在一定范围内,否则不论用于绿化、冲厕、洗车等杂用水还是作为工业循环水,都会出现一些不利影响。建设部部标准《生活杂用水水质标准》CJ/T48--1999规定:用于绿化、冲厕的回用水溶解性固体不能超过1200 mg/L,用于洗车、扫除时的回用水溶解性固体不能超过1000 mg/L。

29. 什么是水的含盐量和矿化度?

水的含盐量也称矿化度,表示水中所含盐类的总数量,常用单位是mg/L。由于水中的盐类均以离子的形式存在,所以含盐量也就是水中各种阴阳离子的数量之和。

从定义可以看出,水的溶解性固体含量比其含盐量要大一些,因为溶解性固体中还含有一部分有机物质。在水中有机物含量很低时,有时也可用溶解性固体近似表示水中的含盐量。

30. 什么是水的电导率?

电导率是水溶液电阻的倒数,单位是μs/cm。水中各种溶解性盐类都以离子状态存在,而这些离子均具有导电能力,水中溶解的盐类越多,离子含量就越大,水的电导率就越大。因此,根据电导率的大小,可以间接表示水中盐类总量或水的溶解性固体含量的多少。

新鲜蒸馏水的电导率为0.5~2μs/cm,超纯水的电导率小于0.1μs/cm,而软化水站排放的浓水电导率可高达数千μs/cm。

31. 什么是悬浮固体?

悬浮固体SS也称为不可过滤物质,测定方法是对水样利用0.45μm的滤膜过滤后,过滤残渣经103oC~105oC蒸发干燥后剩余物质的质量。挥发性悬浮固体VSS指的是悬浮固体在600oC高温下灼烧后挥发掉的质量,可以粗略代表悬浮固体中有机物的含量。灼烧后剩余的那部分物质就是不可挥发性悬浮固体,可以粗略代表悬浮固体中无机物的含量。

废水或受污染的水体中,不溶性悬浮固体的含量和性质随污染物的性质和污染程度而变化。悬浮固体和挥发性悬浮固体是污水处理设计和运行管理的重要指标。

32. 为什么悬浮固体和挥发性悬浮固体是废水处理设计和运行管理的重要参数?

废水中悬浮固体和挥发性悬浮固体是污水处理设计和运行管理的重要参数。

对于二沉池出水的悬浮物含量,国家污水排放一级标准规定不得超过70mg/L(城镇二级污水处理厂不得超过20mg/L),这是一项最重要的水质控制指标之一。同时悬浮物又是常规污水处理系统运行是否正常的指示指标,二沉池出水的悬浮物量发生异常变化或出现超标现象,说明污水处理系统出现了问题,必须采取有关措施使其恢复正常。

生物处理装置内的活性污泥中悬浮固体(MLSS)和挥发性悬浮固体含量(MLVSS)必须在一定数量范围内,而且对于水质相对稳定的污水生物处理系统,两者之间存在一定比例关系,如果MLSS或MLVSS超出特定范围或二者比值发生较大改变,必须设法使其恢复正常,否则势必造成生物处理系统出水水质发生变化,甚至导致包括悬浮物在内的各种排放指标超标。另外,通过测定MLSS,还可以监测曝气池混合液的污泥体积指数,从而了解活性污泥及其他生物悬浮液的沉降特性和活性。

33. 悬浮固体的测定方法有哪些?

GB11901—1989规定了重量法测定水中悬浮物的测定方法,测定悬浮固体SS时,一般是采集一定体积的废水或混合液,用0.45μm滤膜过滤截留悬浮固体,以滤膜截留悬浮固体前后的质量差作为悬浮固体的量。一般废水和二沉池出水的SS常用单位是mg/L,而曝气池混合液和回流污泥的SS常用单位是g/L。

在废水处理场测定曝气混合液和回流污泥等SS值较大的水样时,对测定结果的精确度要求较低时,可以使用定量滤纸代替0.45μm滤膜。这样既可以反应实际情况以指导实际生产的运行调整,又可以节约化验费用。但在测定二沉池出水或深度处理出水的SS时,必须使用0.45μm滤膜进行测定,否则测定结果的误差会过大。

在废水处理过程中,悬浮物浓度是需要经常检测的工艺参数之一,比如进水悬浮物浓度、曝气内混合液污泥浓度、回流污泥浓度、剩余污泥浓度等。为快速测定SS值,废水处理场经常使用污泥浓度计,有光学型和超声波型等两种。光学型污泥浓度计的基本原理是利用光束在水中穿过时遇到悬浮颗粒会散射而强度减弱,光的散射同遇到的悬浮颗粒的数量、大小成一定比例,通过光敏电池来检测散射光和光的衰减程度,就可以推断水中污泥浓度。超声波型污泥浓度计的原理是利用超声波在废水中穿过时,超声波强度的衰减量与水中的悬浮颗粒浓度成正比,通过特制的传感器来检测超声波的衰减程度,就可以推断水中污泥浓度。

34. 悬浮固体测定的注意事项有哪些?

测定取样时,二沉池出水水样或生物处理装置内的活性污泥样必须具有代表性,应当去除其中的大颗粒的漂浮物或浸没于其中的非均质凝块物质。为防止滤片上残留物较多导致夹带水份并延长烘干时间,取样体积以产生2.5~200mg的悬浮固体量为佳。如果没有其他依据,悬浮物测定样品体积可以定为100ml,而且要求必须经过充分混合。

测定活性污泥样品时,由于悬浮固体含量较大,经常会出现样品中悬浮固体量超过200mg的情况,此时必须要适当延长烘干时间,然后再移至干燥器内冷却到平衡温度后称重,反复烘干、干燥直至恒重或称重损失小于前次称重的4%。为避免多次烘干、干燥、称重的操作过程,要严格控制每个操作步骤和时间一致,由一位化验员独立完成,以保证手法一致。

采集的水样应尽快分析测定,如果需要放置,可以贮存在4oC的冷藏箱内,但水样的保存时间最长不能超过7d。为使测定结果尽量精确,在测定曝气混合液等高SS值的水样时,可以适当减少水样的体积;而测定二沉池出水等低SS值水样时,可以适当加大测试水样的体积。

当测定回流污泥等高SS值的污泥浓度时,为防止滤膜或滤纸等过滤介质截留过多的悬浮物而夹带过多的水分,必须延长干燥的时间,恒重称量时,要注意重量的变化幅度。如果变化过大,往往说明滤膜上的SS外干而内湿,需要再延长干燥时间。

35. 什么是水的浊度?

水的浊度是一种表示水样的透光性能的指标,是由于水中泥沙、粘土、微生物等细微的无机物和有机物及其他悬浮物使通过水样的光线被散射或吸收、而不能直接穿透所造成的,一般以每升蒸馏水中含有1mgSiO2(或硅藻土)时对特定光源透过所发生的阻碍程度为1个浊度的标准,称为杰克逊度,以JTU表示。

浊度计是利用水中悬浮杂质对光具有散射作用的原理制成的,其测得的浊度是散射浊度单位,以NTU表示。水的浊度不仅与水中存在的颗粒物质的含量有关,而且和这些颗粒的粒径大小、形状、性质等有密切的关系。

水的浊度高,不仅增加消毒剂的用量,而且影响消毒效果。浊度的降低,往往意味着水中有害物质、细菌和病毒的减少。水的浊度达到10度时,人们就可以看出水质浑浊。

36. 浊度的测定方法有哪些?

国家标准GB13200—1991规定的浊度测定方法有分光光度法和目视比色法两种,这两种方法测定的结果单位是JTU。另外,还有使用光的散射作用测定水浊度的仪器法,浊度计测定的结果单位是NTU。分光光度法适用于饮用水、天然水及高浊度水的检测,最低检测限为3度;目视比色法适用于饮用水和水源水等低浊度水的检测,最低检测限为1度。在实验室对二沉池出水或深度处理出水进行浊度检测时,前两种检测方法都可以使用;而污水处理厂的出水和深度处理系统的管道上进行浊度检测时,往往需要安装在线式浊度计。

在线式浊度计的基本原理和光学型污泥浓度计相同,两者的差别在于污泥浓度计所测量的SS浓度高,因而利用光吸收的原理,而浊度计测量的SS较低,因而利用光散射原理,测得穿过被测水的光的散射分量,即可推断水的浊度大小。

浊度是光与水中固体颗粒共同作用的结果,浊度大小与水中杂质颗粒的大小、形状以及由此引起的对光的折射系数等因素有关,因此,水中的悬浮物含量较高时,一般其浊度也较高,但两者之间又没有直接的相关关系。有时同样的悬浮物含量,但由于悬浮物的性质不同,测得的浊度值却有很大差异。因此,如果水中含有的悬浮杂质较多,应用测定SS的方法来准确反映水的污染程度或杂质的具体数量。

所有与水样接触的玻璃器皿必须清洁,清洁时可用盐酸或表面活性剂清洗。测定浊度的水样不能有碎屑及易沉颗粒,而且必须用具塞玻璃瓶收集,取样后尽快测定。特殊情况可在4oC暗处短时间保存,最多保存24h,而且测定前需要激烈振摇并恢复到室温。

37. 什么是水的色度?

水的色度是测量水的颜色时所规定的指标,水质分析中所称的色度通常指的水的真实颜色,即仅指水样中溶解性物质产生的颜色。因此在测定前,需要对水样进行澄清、离心分离或用0.45μm滤膜过滤去除SS,但不能用滤纸过滤,因为滤纸能吸收水的部分颜色。

用未经过滤或离心分离的原始样品进行测定的结果是水的表观颜色,即由溶解性物质和不溶解性悬浮物质共同产生的颜色。一般不能用测定真实颜色的铂钴比色法测定和量化水的表观颜色,通常用文字来描述其深浅、色调以及透明程度等特征,然后用稀释倍数法进行测定。用铂钴比色法测得的结果和用稀释倍数法测定的色度值往往没有可比性。

38. 色度的测定方法有哪些?

色度的测定方法有铂钴比色法和稀释倍数法两种(GB 11903—1989)。两种方法应独立使用,测定的结果之间一般没有可比性。铂钴比色法测定适用于清洁水、轻度污染水并略带黄色的水,以及比较清洁的地表水、地下水、饮用水和中水、污水深度处理后的回用水等。而工业废水和污染较严重的地表水一般使用稀释倍数法测定其色度。

铂钴比色法是以1L水中含有1mgPt(Ⅳ)和2mg六水氯化钴(Ⅱ)时所具有的颜色计为1个色度标准单位,一般称为1度。1个标准色度单位的配制方法是在1L水中加入0.491mgK2PtCl6及2.00mgCoCl2∙6H2O,又称为铂钴标准,成倍地加入铂钴标准药剂就能得到成倍的标准色度单位。由于氯钴酸钾的价格昂贵,一般使用K2Cr2O7和CoSO4∙7H2O按一定比例和操作步骤配制成代用色度标准溶液。在测定色度时,把待测水样与一系列不同色度的标准液进行比较,即可得到水样的色度。

稀释倍数法是将水样用光学纯水稀释至将近无色后移入比色管中,在白色背景下与同样液柱高度的光学纯水比较颜色深浅,如果发现有差异,再进行稀释,直到不能觉察出颜色为止,此时水样的稀释倍数即为表达水颜色强度的数值,单位是倍。

39. 什么是水的酸度和碱度?

水的酸度是指水中所含有的能与强碱发生中和作用的物质的量。形成酸度的物质有能全部离解出H+的强酸(如HCl、H2SO4)、部分离解出H+的弱酸(H2CO3、有机酸)和强酸弱碱组成的盐类(如NH4Cl、FeSO4)等三类。酸度是用强碱溶液滴定而测定的。滴定时以甲基橙为指示剂测得的酸度称为甲基橙酸度,包括第一类强酸和第三类强酸盐形成的酸度;用酚酞为指示剂测得的酸度称为酚酞酸度,是上述三类酸度的总合,因此也称总酸度。天然水中一般不含强酸酸度,而是由于含有碳酸盐和重碳酸盐使水呈碱性,当水中有酸度存在时,往往表示水已受到酸污染。

与酸度相反,水的碱度是指水中所含有的能与强酸发生中和作用的物质的量。形成碱度的物质有能全部离解出OH-的强碱(如NaOH、KOH)、部分离解出OH-的弱碱(如NH3、C6H5NH2)和强碱弱酸组成的盐类(如Na2CO3、K3PO4、Na2S)等三类。碱度是用强酸溶液滴定而测定的。滴定时以甲基橙为指示剂测得的碱度是上述三类碱度的总合,称为总碱度或甲基橙碱度;用酚酞为指示剂测得的碱度称为酚酞碱度,包括第一类强碱形成的碱度和第三类强碱盐形成的部分碱度。

酸度和碱度的测定方法有酸碱指示剂滴定法和电位滴定法,一般都折合成CaCO3来计量,单位是mg/L。

40. 什么是水的pH值?

pH值是被测水溶液中氢离子活度的负对数,即pH=-lgαH+,是污水处理工艺中最常用的指标之一。在25oC条件下,pH值=7时,水中氢离子和氢氧根离子的活度相等,相应的浓度为10-7mol/L,此时水为中性,pH值﹥7表示水呈碱性,而pH值﹤7则表示水呈酸性。

pH值的大小反映了水的酸性和碱性,但不能直接表明水的酸度和碱度。比如0.1mol/L的盐酸溶液和0.1mol/L的乙酸溶液,酸度同样都是100mmol/L,但两者的pH值却大不相同,0.1mol/L的盐酸溶液的pH值是1,而0.1mol/L的乙酸溶液的pH值是2.9。

41. 常用的pH值测定方法有哪些?

在实际生产中,为了快速方便地掌握进入废水处理场废水的pH值变化情况,最简单的方法是用pH试纸粗略测定。对于无色、无悬浮杂质的废水,还可以使用比色法。目前,我国测定水质pH值的标准方法是电位法(GB 6920--86玻璃电极法),它通常不受颜色、浊度、胶体物质以及氧化剂、还原剂的影响,既可以测定清洁水的pH值、又可以测定受不同程度污染的工业废水的pH值,这也是广大废水处理场广泛使用的测定pH值的方式。

pH值的电位法测定原理是通过测定玻璃电极与已知电位的参比电极的电位差,从而得到指示电极的电位,即pH值。参比电极一般使用甘汞电极或Ag-AgCl电极,以甘汞电极应用最为普遍。pH电位计的核心是一个直流放大器,使电极产生的电位在仪器上放大后以数字或指针的形式在表头上显示出来。电位计通常装有温度补偿装置,用以校正温度对电极的影响。

废水处理场使用的在线pH计的工作原理是电位法,使用注意事项和实验室的pH计基本相同。但由于其使用的电极长期连续浸泡在废水或曝气池等含有大量油污或微生物的地方,因此除了要求pH计设置对电极的自动清洗装置外,还需要根据水质情况和运行经验进行人工清洗。一般对用在进水或曝气池中的pH计每周进行一次人工清洗,而对用在出水中的pH计可每月进行一次人工清洗。对于能同时测定温度和ORP等项目的pH计,应当按照测定功能所需要的使用注意事项进行维护和保养。

42. pH值测定的注意事项有哪些?

⑴电位计应保持干燥、防尘,定期通电维护,保证电极的输入端引线连接部分保持清洁,防止水滴、灰尘、油污等进入。使用交流电源时要保证接地良好,使用干电池的便携式电位计应定期更换电池。同时要定期对电位计进行校验和调零等校正维护,且一经调试妥当,在测试过程中就不能随意旋动电位计的零点和校正、定位等调节器。

⑵用于配制标准缓冲溶液和淋洗电极的水,不能含有CO2、pH值在6.7~7.3之间、电导率要小于2μs/cm。经阴阳离子交换树脂处理过的水,再经煮沸放冷后可以达到此要求。配制好的标准缓冲溶液应密闭保存在硬质玻璃瓶或聚乙烯瓶中,再存放在4oC的冰箱中,可以延长使用期限,如果在空气敞开存放或在常温下保存,使用期限一般不能超过1个月,使用过的缓冲液不能再倒回储存瓶中重复使用。

⑶在正式测量前,首先应检查仪器、电极、标准缓冲液是否正常。并定期对pH计进行校验,通常检验周期为一个季度或半年,校验使用两点校验法。即根据待测样品的pH值范围,选用两种与其接近的标准缓冲溶液,一般这两种缓冲溶液的pH值差至少要大于2。用第一种溶液定位后,再对第二种溶液测试,电位计的显示结果与第二种标准缓冲溶液的标准pH值之差应不大于0.1 pH单位。如果误差大于0.1 pH单位,应用第三种标准缓冲溶液检验。如果此时误差小于0.1 pH单位,则很可能是第二种缓冲溶液出了问题。如果误差仍大于0.1 pH单位,则说明电极出了问题,需要对电极进行处理或更换新的电极。

⑷更换标准缓冲液或样品时,要用蒸馏水对电极进行充分的淋洗,并用滤纸吸去附着在电极上的水,再用待测溶液淋洗以消除相互影响,这一点对使用弱性缓冲溶液时尤其重要。测量pH值时,应对水溶液进行适当搅拌,以使溶液均匀和达到电化学平衡,而在读数时则应停止搅动再静置片刻,以使读数稳定。

⑸测定时,要先用水仔细冲洗两个电极,再水样冲洗,然后将电极浸入盛水样的小烧杯中,用手小心摇动烧杯使水样均匀,待读数稳定后记录pH值。

阀门执行器及其应用

执行器的分类:

vs标准值 污水处理常规分析控制指标最全总结

三种执行器的特点比较:

vs标准值 污水处理常规分析控制指标最全总结 vs标准值 污水处理常规分析控制指标最全总结

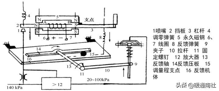
气动执行器:

它是以140kP的压缩空气为能源,以20 ~ 100kP气压信号为输入控制信号;具有结构简单、动作可靠、性能稳定、输出推力大、维修方便、本质安全防暴和价格低廉等特点。

vs标准值 污水处理常规分析控制指标最全总结 vs标准值 污水处理常规分析控制指标最全总结

阀芯的正装与反装形成气开、气关:

vs标准值 污水处理常规分析控制指标最全总结

反作用式气动薄膜控制阀:

vs标准值 污水处理常规分析控制指标最全总结

四种组合:

vs标准值 污水处理常规分析控制指标最全总结

电动执行器:

电动执行机构由伺服放大器和执行机构两部分组成。执行机构又包括两相伺服电动机、减速器和位置发送器。

vs标准值 污水处理常规分析控制指标最全总结

伺服放大器:前置磁放大器、触发器,可控硅主回路及电源等部分。

作用:综合输入信号和反馈信号,并将该结果信号加以放大,使之有足够大的功率来控制伺服电动机的转动。

根据综合后结果信号的极性,放大器应输出相应极性的信号,以控制电动机的正、反运转。

vs标准值 污水处理常规分析控制指标最全总结

伺服电机:是执行机构的动力部分。

减速器:将高转速、低转矩变成低转速、高转矩。

位置发送器:根据差动变压器的工作原理,利用输出轴的位移来改变铁芯在差动线圈中的位置,以产生反馈信号和位置信号。

操作器:是用来完成手动自动之间的切换、远方操作和自动跟踪无扰动切换等任务。

控制阀的结构特点:

vs标准值 污水处理常规分析控制指标最全总结

三通控制阀:合流,分流。

vs标准值 污水处理常规分析控制指标最全总结

角行程式阀芯:

vs标准值 污水处理常规分析控制指标最全总结

阀门执行器选型:

vs标准值 污水处理常规分析控制指标最全总结

开-关控制阀门执行器选型需要知道:

对于开-关控制,基于阀权度的选型是没有意义的。

设计流量V100下水泵扬程;

连接阀门水管管径;

阀体所需承担静压等级 PN;

两通还是三通阀;介质温度;

螺纹连接(内螺纹/外螺纹)还是法兰连接;

工作电压AC 230V 还是 AC 24V;

是否需要弹簧复位。

蝶阀选型需要知道的:

用于锅炉或者制冷机的切断阀要求阀门全开时阀门压力损失最小;

设计流量V100 下水泵扬程;

连接阀门水管管径;

阀体所需承担静压等级 PN;介质温度;

工作电压AC 230 V 还是 AC 24 V;

0…10 V模拟量调节还是3位浮点控制。

模拟量控制阀门执行器选型概念:

模拟量控制阀门执行器选型需要基于实际应用情况;

每一个阀门+执行器组合的选型都需要尽量实现与其所控制的换热盘管最匹配;

阀门选型时需要考虑阀权度;

dpmax或者dpS(关闭)>设计工况下水泵扬程 V100。

选型所需的资料: (侧重暖通空调)

阀门标称压力 PN;

动态阀门参数 ∆pvmax [kPa];

阀门线性或等百分比特性;二通或三通阀;

螺纹 (G/I) 或法兰(F)连接;

介质及介质温度℃;

控制信号开关,3点或模拟量(DC 0-10V);

工作电压 AC 230 V 或 AC 24 V;

断电复位或断电持位;流量系数 kvs[m3/h]。

1.阀体公称压力 PN:

控制阀的标称压力应由设计院或工程公司指定。这是因为系统其他部份(如水管,换热机盘管等)须要相同的标称压力。

但设计院怎样设定标称压力 PN:

系统的静庒头+膨胀水箱提供的压力+水泵在全速时的扬程。

应该是:所选阀体静压值大须于系统的静庒头(每十米高度静压头增大1bar)+加压膨胀水箱的压力+ 水泵工作点时的扬程(是管路计算的总压降 )

vs标准值 污水处理常规分析控制指标最全总结

2.动态阀门參数:

Δpv max,Δpmax 和Δps的定义:

Δpv max表示阀己被设定在动态应用时的压差范围。由阀体、阀座、阀芯、阀杆、密封函等为低噪声及长寿命所决定。

使用一个大推力的驱动器并不表示Δpv max值可以增大,只会使关断压力更大。

Δpmax 表示阀配上驱动器动时动态应用时的范围。该范围永不高于指定的阀体本身的Δpv max。

“关闭压差”或Δps 最高可允许的压差,仍能保证阀门实现安全关闭。该值完全是由驱动器所提供的力量所决定的。

3.阀门线性或等百分比特性:

阀与驱动器组合可提供等百份比及/或线性特性。

不同的特性曲线为了配合换热盘管换热特性,实现理想控制特性曲线。

阀门特性存在最小不可调流量,由可调比定义。

4.螺纹(G/I)或法兰(F)阀门:

大部份小阀门(小于 DN50) 使用螺纹连接. 大阀门须要使用法兰连接,DN65及以上阀门不可以使用螺纹连接;

危险介质、高温高压必须使用法兰连接。

5.介质及介质温度℃:

首先需要确定介质类型,例如:冷冻水、冷却水、饱和蒸汽等等;

介质温差及水流量是根据系统设计冷负荷及热负荷计算得到。用户须提供有关资料。

冷冻水系统一般供水温度为 7℃ 回水温度为12℃。

热水系统根据应用情况有所不同,一般根据水管是否冷、热同管决定最高温度。热水系统温差较大。

vs标准值 污水处理常规分析控制指标最全总结

6.控制信号开关,3位浮点或模拟量:

模拟量控制是一个高端的应用方案,全方位控制空调机组的换热过程。

3位浮点控制,控制精度较低,一般用于小设备。

2-位(开/关)控制是较便宜及常用于控制小型盘管或设备启/停切换。

7.工作电压 AC 230V或 AC 24V:

AC 24V 通常用在空调机组冷/热盘管结合模拟量、2-位或3-位驱动器。

不需变压器便须使用AC 220V。AC 220V通常在使用温控器控制风机盘管结合2-位及3-位驱动器。

8.断电复位或断电持位:

用户会通知是否须要断电复位。一般默认为断电持位。

如须确保阀门在系统停止操作时关掉(打开),建议使用故障复位的阀及驱动器组合。

防止系统停止时不受控制的循环,冷盘管/冷吊顶产生结露现象。

蒸汽等危险介质时,必须使用快速断电复位功能。

为了系统调试过程同时需要手动功能。

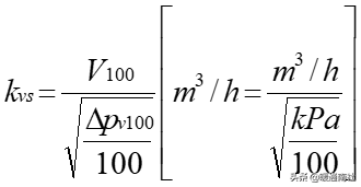
kvs计算:

须获知设计流量V100及阀门全开时压降 Δpv100, 才能计算标称流量kv从而选择最接近流通能力Kvs。

计算可使用选型尺、选型软件或以下方程式:

vs标准值 污水处理常规分析控制指标最全总结

kvs基本概念(1)-流通能力:

kVS:(m3/h) 指当阀门前后压差为1bar(100kPa)时,阀门处于全开状态(H100),流经阀门的名义水流量 (5...30℃)。

vs标准值 污水处理常规分析控制指标最全总结

Kvs:可调比的定义SV

vs标准值 污水处理常规分析控制指标最全总结

Kvs:定义ΔpV100

阀门压力损失ΔpV100的确定被认为是半艺术半经验的过程。

因此很多情况下很难知道ΔpV100。

如果ΔpV100未知,询问调节阀所在回路中变流量部分的压力损失ΔpMV。

在不知道任何参数的情况下,根据最常用水力回路确定ΔpV100。

vs标准值 污水处理常规分析控制指标最全总结

kvs控制目标:

vs标准值 污水处理常规分析控制指标最全总结

盘管特性:盘管特性受a 值影响,根据a 值不同,盘管的换热能力随之改变。

阀门特性:当阀权度PV=1时,其特性为理论上的线性或等百分比曲线,而当阀权度小于1,特性曲线也会改变。

在一个闭环控制回路中,最终热量输出近似为控制信号的线性函数。

kvs基本概念(2)—阀权度:

阀门动作过程中,对阀门本身的特性曲线有影响,因为随着阀门的关闭或打开,其两端的压力损失是一起改变的。

阀门全开与全关时两端压力损失之比我们称之为阀权度(或叫做压降比)

在整个支路中,阀门阀权度:PV=△pV100/△pVR

注意:对于三通阀的阀权度:PV=△pV100/(△pV100+△pMV)

vs标准值 污水处理常规分析控制指标最全总结

kvs基本概念(3)—a 值:

vs标准值 污水处理常规分析控制指标最全总结 vs标准值 污水处理常规分析控制指标最全总结

阀权度与换热器特性组合:

vs标准值 污水处理常规分析控制指标最全总结

kvs选择:

控制阀系列提供不同Kvs值,它是以几何级数增加。

所以己计算的Kvs值很多时并不存在相应同数值的控制阀。

阀门以更小的Kvs数值是可增加可控性但会增加阀门的压力损失。

通常,我们建议使用一个Kvs较接近己计算的值。

所有计算是使用设计流量及在设计流量通过时的压降。

定义阀门kVS值的公式:

vs标准值 污水处理常规分析控制指标最全总结

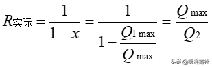
控制阀的可调比:

控制阀的可调比就是控制阀所能控制的最大流量与最小流量之比。可调比也称为可调范围,用R表示。

vs标准值 污水处理常规分析控制指标最全总结

1.理想可调比:当控制阀上压差一定时,这时的可调比称为理想可调比。

2.实际可调比:控制阀在实际工作时,与管路系统相串联或与旁路阀相并联,此时的可调比就称为实际可调比。

(1)串联管道时的可调比:

vs标准值 污水处理常规分析控制指标最全总结

ΔPmax为控制阀全关时阀前后的压差(近似等于系统的总压差);

ΔPmin为控制阀全开时阀前后的压差;

S为控制阀全开时阀前后压差与系统总压差之比。

vs标准值 污水处理常规分析控制指标最全总结

(2)并联管道时的可调比:

vs标准值 污水处理常规分析控制指标最全总结 vs标准值 污水处理常规分析控制指标最全总结 vs标准值 污水处理常规分析控制指标最全总结

控制阀的流量特性:

vs标准值 污水处理常规分析控制指标最全总结 vs标准值 污水处理常规分析控制指标最全总结

1.理想流量特性:

vs标准值 污水处理常规分析控制指标最全总结

2.工作流量特性:

在实际使用时,控制阀安装在管道上,与其它设备串联,或者与旁路管道并联,因而控制阀前后的压差是变化的。此时,控制阀的相对流量与阀芯相对开度之间的关系称为工作流量特性。

串联管道的工作流量特性:

vs标准值 污水处理常规分析控制指标最全总结

并联管道的工作流量特性:

vs标准值 污水处理常规分析控制指标最全总结

图中S′为阀全开时的工作流量与总管最大流量之比。

根据实际经验,S′的值不能低于0.8。

阀门定位器:

提高阀杆位置的线性度,克服阀杆的摩擦力,消除被控介质压力变化与高压差对阀位的影响;

增加执行机构的动作速度,改善控制系统的动态特性;

可用20~100kPa的标准信号压力去操作40~200kPa的非标准号压力的气动执行机构;

可实现分程控制,用一台控制仪表去操作两台控制阀;

可实现反作用动作;可修正控制阀的流量特性;

可使活塞执行机构和长行程执行机构的两位式动作变为比例式动作;

采用电/气阀门定位器后,可用4~20mADC电流信号去操作气动执行机构,一台电/气阀门定位器具有电/气转换器和气动阀门定位器的双重作用。

气动阀门定位器:

气动阀门定位器接受由气动控制器或电/气转换器转换的控制器的输出信号,然后产生和控制器输出信号成比例的气压信号,用以控制气动执行器。

vs标准值 污水处理常规分析控制指标最全总结

电/气阀门定位器实际上是电气转换器和阀门定位器的组合。先看电气转换器的动作原理:

vs标准值 污水处理常规分析控制指标最全总结

电/气阀门定位器将来自控制器或其它单元的4~20mADC电流信号转换成气压信号去驱动执行机构。同时,从阀杆的位移取得反馈信号,构成具有阀位负反馈的闭环系统,因而不仅改善了执行器的静态特性,使输入电流与阀杆位移之间保持良好的线性关系;而且改善了气动执行器的动态特性,使阀杆的移动速度加快,减少了信号的传递滞后。

vs标准值 污水处理常规分析控制指标最全总结

气动薄膜控制阀主要性能指标:

vs标准值 污水处理常规分析控制指标最全总结

执行器的安装与维护

执行器的安装:

执行器应安装在便于调整、检查和拆卸的地方。在保证安全生产的同时也应该考虑节约投资、整齐美观。这里介绍一些安装的原则。

执行器最好是正立垂直安装于水平管道上。

执行器应安装在靠近地面或楼板的地方,在其上、下方应留有足够的间隙。

选择执行器的安装位置时,应采取其前后有不小于10D(D为管道直径)的直管段。

控制阀安装在管道上时,阀体上的箭头方向与管道中流体流动方向应相同。如果控制阀的口径与管道的管径不同时,两者之间应加一个渐缩管来连接。

为防止执行机构的薄膜老化,执行器应尽量安装在远离高温、振动、有毒、及腐蚀严重的场地。

当生产现场有检测仪表时,控制阀应尽量与其靠近,以利于调整。外要注意工艺过程对控制阀位置的要求。

为了安全起见,控制阀应加旁通管路,并装有切断阀及旁路阀。以便在控制阀发生故障或维修时,通过旁路使生产过程继续进行。

旁路组合的形式较多,现举常用的四种方案如图所示。

vs标准值 污水处理常规分析控制指标最全总结

(a)是过去习惯采用的方案,旁路可以自动放空,但由于两个切断阀与控制阀在一根管线上,难于拆卸、安装,且所占空间大。

(b)这种方案比较好,布置紧凑,占地面积小,便于拆卸。

(c)这种形式也比较好,便于拆卸,但占地面积比(b)大一些。

(d)这种方案只适用于小口径控制阀,否则执行器安装位置高,拆装不便。

执行器的正常工作与维护检修有很大关系。日常维护工作主要是观察阀的工作状态,使填料密封部分保持良好的润滑状态。定期检修能够及时发现问题并更换零件。维护检修时重点检查的部位是:

阀体内壁;阀座;阀芯;膜片和“O”形密封;

密封填料。

电动执行器的维护:

角行程电动执行器按照运动方式分为:角行程、直行程和多转式。

角行程和直行程执行器大部分是在多转式的基础之上改造而来的:

以多转式为基础,配以蜗轮蜗杆二级减速箱组成0~90°角行程电动执行机构;配以丝杆部件组成直行程电动执行机构。

角行程:0~90°角行程,用于控制球阀、旋塞阀、蝶阀和百叶阀之类的角行程阀门;

多回转电动执行器多转式:需要运行超过360°才能实现阀门的启闭,主要用于截止阀、管夹阀和隔膜阀;

直行程:输出的是力,产生的是位移,主要用于闸阀和滑板阀。

常用于配套各种阀门构成电动阀门或者电动调节阀(例如:闸阀、调节阀、单座阀等直线运动的阀门)。

以AC 交流电或DC 直流电为驱动能源;根据动作方式分为两大类(电动开关型和电动调节型)。

优点是能源取用方便,信号传输速度快,传输距离远,便于集中控制,灵敏度和精度较高,与电动调节仪表配合方便,安装接线简单。

缺点是结构复杂,平均故障率高于气动执行机构,适用于防爆要求不高,气源缺乏的场所。

一.指示灯故障

1.故障现象:

给电动执行机通电后发现电源指示灯不亮,伺放板无反馈,给信号不动作。

故障判断和检修过程:

因电源指示灯不亮,首先检查保险管是否开路,经检查保险管完好,综合故障现象,可以推断故障有可能发生在伺放板的电源部分,接着检查电源指示灯,用万用表检测发现指示灯开路,更换指示灯故障排除。

结论:电源指示灯开路会造成整个伺放板不工作。

2.故障现象:

电动执行器的执行机构通电后,给信号开可以,关不动作。

故障判断和检修过程:

先仔细检查反馈线路,确认反馈信号无故障,给开信号时开指示灯亮,说明开正常,给关信号时关指示灯不亮,说明关可控硅部分有问题,首先检查关指示灯,用万用表检测发现关指示灯开路,将其更换后故障排除。

结论:关和开指示灯不亮(开路)时可控硅不动作。

二.电阻电容

1.故障现象:

执行机构通电后,给定一个信号(例75%),执行机构会全开到底,然后回到指定位置

(75%)。

故障判断和检修过程:

根据以上故障现象,首先要判断是伺放板和执行机构那一个有问题。将伺放板从执行机构上拆下,直接将电源线接到X5/1和X5/4端子上,执行机构关方向动作,将电源线接到X5/1和X5/2 端子上,执行机构开方向动作,如果执行机构动作不正常,说明故障在执行器上。

用万用表测电机绕组正常,再测电容两边的电阻发现有一个开路,将其更换后故障排除。

结论:遇到以上故障现象时,首先要判断故障发生在那一个部分上,最后确定根源。

2.故障现象:

执行机构通电后给关信号(4mA)执行机构先全开后再全关。

故障判断和检修过程:

先拆除伺放板,直接给执行机构通电发现仍然存在原故障,检查电阻,电阻阻值正常,说明电阻没问题,检查电机绕组,发现阻值正常,电机没问题。由此故障推断有可能电容坏,重新更换电容,故障排除。

结论:出现该问题时首先怀疑电阻和电容。

三.其它

1、故障现象:

现场只要送AC220V 电源,保护开关立即动作(跳闸)执行机构伺放保险已烧。

故障判断和检修过程:

首先用万用表检测执行机构上的电机绕组,发现电机绕组的电阻趋向于零,说明电机已短路,再检测抱闸两端电阻,电阻趋向于无穷大,说明抱闸已坏,正常应是1.45K左右。最终的处理办法是:更换新的抱闸和电机,把伺放板的保险管装上,重新调试,恢复正常运作。

结论:此情况应是由于抱闸坏了之后把电机抱死而现场没有及时发现,使电机长期处于堵转发热,工作最终使电机相间绝缘破坏所导致的。

2、故障现象:

执行机构的动作方向不受输入信号的控制。

故障判断和检修过程:

先检查两个限流电阻和移相电容均没有异常,用万用表检查电机的绕组阻值,发现电机的电阻值为1.45MΩ(且不时地发生变化),说明电机绕组不对,最终的办法是更换了这台电机。

3、故障现象:

执行机构的动作方向不受伺放板的控制。

故障判断和检修过程:

首先让用户用万用表检测两个限流电阻和移相电容及电机的绕组阻值,发现其中一个限流电阻开路。

影响执行机构转向的三个因素就是①电机本身的绕组;②限流电阻;③移相电容,以后发生这种情况都有要从这三方面考虑。

4 故障现象:无论现场给什么信号电机都不动作。

故障判断和检修过程:

直接在电机绕组间通电,电机也不传,抱闸拆下通电电机还是不转,检测电机绕组阻值均正常,手轮摇执行机构动作正常。检测的结果都正常就是通电时电机不转,此时怀疑电机的转子,把电机拆开,发现转子用手都拧不动,原来转子和电机端盖之间已有一层坚固的灰,把这层灰清除之后,加上一点润滑油,用手就可以拧动了。重新把电机装好并与执行机构配合装上,通电正常,重新调试。

本文来源于互联网,暖通南社整理编辑 。

相关问答

38mnvs6的技术 标准 是什么?

"38MnVS6"是一种钢材牌号,它代表了一种具体的钢材材料。以下是针对"38MnVS6"的一般技术标准:1.化学成分要求:-碳(C)含量:范围...

分析化学中pk怎么计算?

化学pk值计算公式:Pk=-lgc(H+)。PK参数的计算是分析化合物PK性质的一般要求,在很多应用情景中,身边没有标准计算工具时,若能迅速地依据化合物时间-浓度数据...

请问:甲酸,乙酸,丙酸,丁酸,异丁酸的pKa 是多少?最好能给我...

[最佳回答]甲酸pKa=3.75,Ka=1.77*10E(-4)20度时结构式HCOOH别称蚁酸乙酸pKa=4.75,Ka=1.76*10E(-5)25度时结构式CH3COOH别称醋酸丙酸pKa=4.87,Ka=...

风荷载 标准值 pk计算公式?

风荷载标准值Pk的计算公式可以根据国家或地区的规范进行确定。一般情况下,风荷载标准值Pk的计算公式包括风速、地形系数、高度系数和结构系数等参数。其中,风...

pk 是什么意思?

“PK值”是一种衡量空气污染程度的指标,也称为“污染指数”或“空气质量指数”。它通过监测空气中的主要污染物浓度,如PM2.5、PM10、SO2、NO2、O3等,计算出一...

关于阀门的KVS ?

阀门参数中的KVS含义:Kvs即流量系数(亦称流通能力)。Kvs指的是阀门两端压差为0.1MPa,水的密度为1g/cm^3,阀门全开时的流量。它是调节阀的重要参数,...阀门...

r vs 电线线径计算公式?

为了确保正确选择电线线径并满足安全和性能需求,请咨询电气工程师或遵循当地的电气安装规范和标准。这些专业人员可以根据具体的应用和需求提供更精确和可靠的...

2020款捷达 vs 7的机油型号?

捷达vs7原厂机油标号是SG5W-40,价格方面在150左右一桶。发动机机油是影响发动机功能和使用寿命的重要因素,捷达出厂时已加注优质复式粘度机油,除极端严寒气候...

1克拉钻戒,F色,VVS和 VS1 要选哪个?【婚礼纪】

[回答]VVS1-VS2净度这个值肉眼已经很难分辨的,所以从VVS1一直到S12都是可以接受的看你对钻石的要求高不高了,其实VVS和VS1肉眼已经很难区分了如果你预算...

【关于EMC测试 标准 我的一款家用DVBT接收盒,测试EMC,空间辐射...

[最佳回答]DVBT辐射测试,需要测空间辐射和功率辐射.空间辐射:两根线,最上面的,一般是红色的,是EN55013的标准的限值,详细你可以去下载EN55013的标准来读一读就...